Miệng gió là thiết bị đầu cuối trong hệ thống thông gió và điều hòa không khí (HVAC), có nhiệm vụ phân phối hoặc thu hồi không khí giữa không gian điều hòa và hệ thống ống gió. Miệng gió đóng vai trò quan trọng trong việc điều hướng, khuếch tán và cân bằng lưu lượng khí, đảm bảo không khí được cấp và hồi lại một cách đồng đều, duy trì sự thoải mái nhiệt cho người sử dụng.

Trong một hệ thống HVAC kín, không khí lạnh hoặc nóng từ dàn lạnh (AHU, FCU) được dẫn qua ống gió cấp (supply duct) đến các miệng gió cấp (supply grille) để phân phối đều ra không gian sử dụng. Sau khi trao đổi nhiệt, luồng không khí được thu hồi về qua miệng gió hồi (return grille) để tái xử lý hoặc thải ra ngoài.
→ Như vậy, miệng gió là “điểm đầu ra và đầu vào” của toàn bộ chu trình trao đổi không khí.
Miệng gió thường có thể tích hợp thêm lá điều chỉnh (blade), nhưng không thay thế hoàn toàn chức năng điều tiết của van gió.
Miệng gió ảnh hưởng trực tiếp đến tốc độ gió đầu ra, độ ồn và hiệu quả khuếch tán trong không gian. Thiết kế sai kích thước hoặc chọn sai kiểu miệng gió có thể dẫn đến:
Vì vậy, việc hiểu đúng bản chất và ứng dụng đúng loại miệng gió là yếu tố cốt lõi trong thiết kế HVAC hiện đại.
Miệng gió được cấu thành từ nhiều bộ phận có vai trò riêng, giúp phân phối không khí hiệu quả, kiểm soát hướng gió và hạn chế tổn thất áp suất trong hệ thống.
Khung miệng gió thường được chế tạo từ các vật liệu như:
Bề mặt được xử lý bằng sơn tĩnh điện hoặc anot hóa, đạt tiêu chuẩn chống oxy hóa, hạn chế bám bụi và giữ độ bền màu theo thời gian.
Nan gió là bộ phận điều hướng dòng không khí, được thiết kế cố định hoặc xoay chỉnh góc:
Góc khuếch tán và hình dạng nan quyết định tầm thổi và mức độ lan tỏa của dòng khí. Các miệng gió khuếch tán đa hướng cho phép không khí lan tỏa đều hơn, tránh vùng gió lạnh cục bộ.
Một số dòng miệng gió tích hợp lưới lọc bụi thô, côn tròn phân phối khí hoặc lưới inox chống côn trùng, có tác dụng:
Miệng gió được sản xuất theo nhiều kích thước tiêu chuẩn: 150x150, 300x150, 600x600 mm… tùy theo tiết diện ống gió và lưu lượng yêu cầu.
Quy đổi cơ bản giữa lưu lượng và tiết diện:
| Lưu lượng (m³/h) ≈ Tốc độ gió (m/s) x Tiết diện (m²) x 3600 |
Khi chọn kích thước, kỹ sư cần đảm bảo tốc độ gió tại miệng không vượt 2.5–3.5 m/s cho không gian dân dụng để giữ độ ồn thấp.
Miệng gió hoạt động dựa trên nguyên lý phân phối và hồi lưu không khí cưỡng bức thông qua chênh lệch áp suất giữa hệ thống ống gió và không gian điều hòa. Khi quạt cấp đẩy không khí vào hệ thống, luồng khí di chuyển đến miệng gió với vận tốc nhất định; hình dạng và góc nan gió sẽ quyết định hướng, tầm thổi và khả năng khuếch tán.
Thiết kế hình học nan, tiết diện và vận tốc tại miệng gió ảnh hưởng trực tiếp đến:
|
Giai đoạn |
Thành phần tham gia |
Cơ chế vật lý chính |
Kết quả đạt được |
|
Cấp gió |
Quạt cấp, ống gió, miệng gió khuếch tán |
Biến đổi áp suất tĩnh → động, khuếch tán khí |
Phân phối đều không khí |
|
Hồi gió |
Miệng gió hồi, ống gió hồi |
Chênh áp hút khí về hệ thống |
Duy trì tuần hoàn không khí |
|
Xả áp |
Louver / PRD |
Tự động mở khi chênh áp vượt ngưỡng |
Cân bằng áp suất vùng |
Như vây, miệng gió hoạt động như “cửa thở” của hệ thống HVAC – nơi chuyển đổi năng lượng áp suất thành vận tốc, phân phối và thu hồi không khí một cách có kiểm soát. Hiệu quả của toàn bộ hệ thống thông gió phụ thuộc lớn vào thiết kế khí động học và góc khuếch tán của miệng gió, chứ không chỉ vào công suất quạt hay kích thước ống gió.
Miệng gió được chia thành nhiều loại dựa trên chức năng sử dụng, cấu trúc và vị trí lắp đặt, giúp tối ưu hiệu suất và thẩm mỹ công trình.
Tóm lại, miệng gió không chỉ là chi tiết phụ trong hệ thống HVAC, mà là thiết bị ảnh hưởng trực tiếp đến hiệu quả phân phối không khí, độ ồn và thẩm mỹ công trình. Việc chọn đúng loại, đúng kích thước và đúng vật liệu là yếu tố quyết định hiệu quả vận hành toàn hệ thống.
Miệng gió là phần tử cuối cùng trong chuỗi phân phối khí, trực tiếp ảnh hưởng đến hiệu suất thông gió, độ ồn, áp suất hệ thống và cảm giác thoải mái của người sử dụng. Do đó, việc thiết kế và lựa chọn miệng gió phải tuân thủ các tiêu chuẩn kỹ thuật HVAC quốc tế và Việt Nam.
Tốc độ gió tại miệng phải được giới hạn trong phạm vi cho phép nhằm đảm bảo tiện nghi nhiệt, độ ồn thấp và hiệu quả khuếch tán.
Theo ASHRAE Handbook và TCVN 5687:2010, vận tốc gió khuyến nghị như sau:
|
Khu vực lắp đặt |
Tốc độ gió tối đa tại miệng (m/s) |
Độ ồn cho phép (dB(A)) |
|
Phòng ngủ, bệnh viện |
1.5 – 2.0 |
≤ 25 |
|
Văn phòng, phòng học |
2.0 – 2.5 |
≤ 35 |
|
Hành lang, khu công cộng |
2.5 – 3.0 |
≤ 40 |
|
Nhà xưởng, kho |
3.5 – 5.0 |
≤ 50 |
* Nguyên tắc thiết kế:
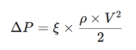
Miệng gió tạo ra tổn thất áp suất do thay đổi hướng dòng khí, ma sát trên nan và cản trở của lưới chắn.
Giá trị tổn thất được biểu diễn bằng công thức:

Trong đó:
Ví dụ:
Một miệng gió cấp có vận tốc 3 m/s, ξ = 0.8:
→ ΔP = 0.8 x 1.2 x 3² / 2 ≈ 4.3 Pa
Tổn thất áp suất này phải được cộng vào tổng áp quạt để đảm bảo hệ thống phân phối đều.
* Lưu ý kỹ thuật:
Theo SMACNA, hiệu quả khuếch tán được xác định bằng tỷ lệ giữa nhiệt độ không khí vùng làm việc và nhiệt độ trung bình dòng cấp.
Miệng gió được đánh giá tốt khi:
|
Tiêu chuẩn |
Nội dung áp dụng |
Phạm vi |
|
ASHRAE 55:2020 |
Tiện nghi nhiệt trong không gian kín |
Toàn cầu |
|
ASHRAE 62.1:2019 |
Chất lượng không khí trong nhà |
Toàn cầu |
|
SMACNA Duct Design 2010 |
Thiết kế ống gió và đầu cuối |
Kỹ sư HVAC |
|
TCVN 5687:2010 |
Thông gió – Điều hòa không khí – Tiêu chuẩn thiết kế |
Việt Nam |
|
ISO 3744:2010 |
Đo độ ồn thiết bị HVAC |
Kỹ thuật âm học |
Các tiêu chuẩn này quy định chi tiết vận tốc, độ ồn, áp suất, hướng thổi và giới hạn nhiệt độ để đảm bảo hiệu suất và tiện nghi.

Trong đó:

Chọn 2 miệng gió 300 x 300 mm (0.09 m² mỗi cái) → tổng 0.18 m²
Kết quả đạt yêu cầu vận tốc & độ ồn thấp, đảm bảo phân phối gió đều.
→ Trong thiết kế HVAC chuyên nghiệp, miệng gió không chỉ là chi tiết cơ khí, mà là yếu tố ảnh hưởng trực tiếp đến chất lượng không khí, năng lượng tiêu thụ và sự thoải mái của người dùng.
Tùy theo đặc tính công trình và yêu cầu tiện nghi, kỹ sư sẽ lựa chọn loại miệng gió, vị trí và vật liệu phù hợp để đạt hiệu quả tối ưu về lưu lượng, độ ồn, thẩm mỹ và chi phí năng lượng.
1. Đặc điểm hệ thống:
2. Loại miệng gió sử dụng phổ biến:
|
Vị trí |
Loại miệng gió |
Mục đích |
Ghi chú kỹ thuật |
|
Trần phòng khách |
Miệng gió khuếch tán 4 hướng |
Phân phối khí lạnh đều khắp phòng |
Chọn góc khuếch tán 45° – độ ồn ≤ 30 dB(A) |
|
Trần hành lang |
Miệng gió khe (linear slot) |
Thẩm mỹ, luồng gió nhẹ |
Dài ≤ 1200 mm, vận tốc ≤ 2 m/s |
|
Phòng ngủ |
Miệng gió một hướng |
Tránh thổi trực tiếp vào giường |
Lắp cách đầu giường ≥ 1.5 m |
|
Tường hoặc trần hồi |
Miệng gió hồi có lưới lọc bụi |
Thu hồi khí tuần hoàn |
Lắp thấp hơn miệng cấp 0.5–1 m |
3. Ví dụ bố trí thực tế:
Phòng ngủ 25 m², lưu lượng 900 m³/h
→ Chọn 2 miệng gió cấp 250x250 mm (2.5 m/s) và 1 miệng hồi 400x200 mm, bảo đảm cân bằng lưu lượng và độ ồn thấp.
1. Đặc điểm hệ thống:
2. Loại miệng gió sử dụng phổ biến:
|
Khu vực |
Loại miệng gió |
Tốc độ tại miệng (m/s) |
Độ ồn (dB(A)) |
|
Phòng làm việc |
Miệng gió vuông khuếch tán 4 hướng |
2.5–3.0 |
≤ 35 |
|
Hành lang |
Miệng gió nan song song 1 hướng |
3.0–3.5 |
≤ 40 |
|
Phòng họp kín |
Miệng gió tròn |
2.0–2.5 |
≤ 30 |
|
Khu vệ sinh |
Miệng gió hút âm trần |
2.5–3.0 |
≤ 40 |
3. Tư vấn kỹ thuật:
4. Ví dụ bố trí thực tế:
Phòng làm việc 10 m x 6 m, cao 3 m → thể tích 180 m³
Lưu lượng yêu cầu: 12 lần/h → 2160 m³/h
→ Chọn 4 miệng gió 300x300 mm, vận tốc 2.5 m/s → tổng tiết diện 0.4 m² → đạt yêu cầu lưu lượng và độ ồn.
1. Đặc điểm hệ thống:
2. Loại miệng gió sử dụng phổ biến:
|
Khu vực |
Loại miệng gió |
Vật liệu |
Tính năng |
|
Nhà xưởng sản xuất |
Miệng gió lá sách điều chỉnh |
Nhôm dày 1.2 mm hoặc thép sơn |
Điều chỉnh hướng gió rộng |
|
Kho hàng |
Miệng gió tròn 360° hoặc nozzle |
Inox hoặc nhôm |
Tầm thổi xa, áp cao |
|
Phòng máy |
Miệng gió hồi có lưới lọc |
Thép sơn |
Giữ bụi, dễ vệ sinh |
|
Hành lang kỹ thuật |
Miệng gió xả áp (Pressure Relief) |
Nhôm |
Cân bằng áp suất giữa phòng & hành lang |
3. Lưu ý thiết kế:
1. Chức năng kỹ thuật:
Miệng gió louver ngoài trời dùng để:
2. Cấu tạo & nguyên lý:
3. Vật liệu & ứng dụng:
|
Vật liệu |
Ứng dụng |
Ghi chú |
|
Nhôm sơn tĩnh điện |
Tường ngoài, mặt dựng |
Thẩm mỹ cao, nhẹ |
|
Thép sơn epoxy |
Khu công nghiệp |
Giá thành rẻ, bền cơ học |
|
Inox 304 |
Nhà máy hóa chất, ven biển |
Chống ăn mòn cao |
|
Composite |
Công trình đặc thù |
Cách nhiệt, chống tia UV |
4. Ví dụ thực tế:
Tòa nhà 10 tầng, lưu lượng hút khí tươi 8000 m³/h, chọn louver 800x800 mm, vận tốc 3.5 m/s
→ Tiết diện cần 0.64 m² → bố trí 2 louver để đảm bảo lưu lượng, tránh ồn và tăng hiệu suất trao đổi khí.
Một hệ thống HVAC hoàn chỉnh luôn kết hợp:
Nguyên tắc bố trí tổng thể:
Tóm lại, kỹ sư cần phối hợp giữa tính toán lưu lượng, tiêu chuẩn độ ồn, vị trí lắp đặt và loại miệng gió để đạt được hiệu quả toàn hệ thống và trải nghiệm người dùng tốt nhất.
Việc chọn đúng loại miệng gió giúp hệ thống HVAC hoạt động ổn định, tiết kiệm năng lượng và đảm bảo sự thoải mái cho người dùng. Quy trình lựa chọn cần căn cứ trên lưu lượng không khí, vận tốc gió, độ ồn, loại công trình, vật liệu và yếu tố thẩm mỹ.
Bước 1. Xác định lưu lượng không khí cần cấp hoặc hồi (Q)
Tính theo công thức:
| Q = A x V x 3600 |
Trong đó:
Bước 2. Xác định vận tốc gió phù hợp
Tùy loại không gian và độ ồn cho phép theo bảng sau:
|
Loại công trình |
Loại miệng gió |
Tốc độ tại miệng (m/s) |
Lưu lượng mỗi miệng (m³/h)* |
Độ ồn cho phép (dB(A)) |
|
Nhà ở, biệt thự |
Cấp 2 hướng / 4 hướng |
2.0 – 2.5 |
250 – 400 |
≤ 30 |
|
Văn phòng, phòng họp |
Khuếch tán 4 hướng, khe linear |
2.5 – 3.0 |
350 – 600 |
≤ 35 |
|
Hành lang, nhà hàng |
Nan đơn hoặc song song |
3.0 – 3.5 |
400 – 700 |
≤ 40 |
|
Kho, xưởng công nghiệp |
Miệng lá sách / tròn / nozzle |
4.0 – 5.5 |
700 – 1200 |
≤ 50 |
|
Phòng sạch, phòng kỹ thuật |
Miệng tròn / lọc HEPA |
2.0 – 2.5 |
200 – 350 |
≤ 30 |
(Giá trị lưu lượng trung bình tính theo kích thước 300x300 mm)
Bước 3. Chọn loại miệng gió theo yêu cầu kỹ thuật
Bước 4. Tra tiết diện & số lượng miệng gió
Dựa vào lưu lượng và vận tốc chọn, tính diện tích cần thiết để phân bổ đều lưu lượng và độ ồn tối thiểu.
|
Loại công trình |
Yêu cầu kỹ thuật |
Loại miệng gió khuyến nghị |
Ghi chú |
|
Biệt thự, nhà phố |
Thẩm mỹ cao, êm, dễ vệ sinh |
Khuếch tán 1–4 hướng hoặc khe linear |
Lắp âm trần thạch cao, màu sơn đồng bộ nội thất |
|
Văn phòng, showroom |
Phân phối gió đều, hiệu suất cao |
Khuếch tán 4 hướng, tròn 360°, hồi nan song song |
Kết hợp cảm biến nhiệt độ & áp suất |
|
Nhà xưởng, nhà máy |
Lưu lượng lớn, áp cao, bền cơ học |
Miệng lá sách điều chỉnh, tròn áp cao |
Dùng nhôm dày hoặc thép sơn epoxy |
|
Phòng sạch, bệnh viện |
Gió sạch, áp dương, chống bụi |
Miệng gió tròn có lọc HEPA / lọc thô |
Đảm bảo độ kín và dễ thay lọc |
|
Tòa nhà thương mại, trung tâm mua sắm |
Tối ưu lưu lượng & tiết kiệm năng lượng |
Miệng khuếch tán trần kết hợp hồi tường |
Cân bằng áp suất giữa khu và hành lang |
|
Thông số |
Hướng dẫn lựa chọn |
Giới hạn kỹ thuật |
|
Lưu lượng (m³/h) |
Căn cứ trên tải lạnh và yêu cầu thông gió |
10–15 lần/giờ cho văn phòng, 6–8 lần/giờ cho dân dụng |
|
Vận tốc tại miệng (m/s) |
Giảm vận tốc để giảm ồn ở khu dân dụng |
2–3 m/s (dân dụng), 4–5 m/s (công nghiệp) |
|
Độ ồn (dB(A)) |
Dựa theo tiêu chuẩn ASHRAE 55 và TCVN 5687:2010 |
≤ 35 dB(A) cho văn phòng, ≤ 50 dB(A) cho xưởng |
|
Vị trí lắp đặt |
Trần, tường, sàn, ngoài trời |
Không đặt thổi trực tiếp vào người |
|
Vật liệu |
Theo môi trường sử dụng |
Inox cho môi trường ẩm, nhôm cho văn phòng |
|
Thẩm mỹ |
Chọn dạng khe hoặc khuếch tán ẩn |
Sơn tĩnh điện trắng mờ hoặc đồng màu trần |
|
Chiều cao trần (m) |
Loại miệng gió khuyến nghị |
Góc khuếch tán |
Tầm thổi hiệu quả (m) |
|
< 2.8 |
Miệng 1 hướng hoặc khe linear |
30–45° |
2 – 3 |
|
2.8 – 3.5 |
Miệng khuếch tán 4 hướng |
45° |
3 – 4 |
|
3.5 – 4.5 |
Miệng tròn 360° hoặc 2 hướng |
60° |
4 – 5 |
|
> 4.5 |
Miệng lá sách điều chỉnh / nozzle |
60–75° |
5 – 8 |
* Gợi ý cho kỹ thuật:
|
Môi trường |
Vật liệu khuyến nghị |
Đặc tính nổi bật |
|
Trong nhà (văn phòng, nhà ở) |
Nhôm anod / sơn tĩnh điện |
Nhẹ, bền, thẩm mỹ cao |
|
Ngoài trời |
Inox 304 / thép sơn epoxy |
Chống mưa nắng, ăn mòn |
|
Nhà máy hóa chất, thực phẩm |
Inox 316L |
Kháng axit, vệ sinh cao |
|
Phòng sạch / bệnh viện |
Nhôm phủ tĩnh điện trắng |
Dễ vệ sinh, không bám bụi |
|
Khu vực ẩm / lạnh |
Nhựa ABS hoặc PVC |
Cách nhiệt, không gỉ sét |
→ Tiết diện yêu cầu:

Chọn 2 miệng khuếch tán 300x300 mm (0.09 m² mỗi cái), vận tốc thực tế ≈ 2.3 m/s, độ ồn < 35 dB(A).
→ Đạt yêu cầu kỹ thuật và tiện nghi nhiệt theo ASHRAE 55.
Một thiết kế miệng gió đúng tiêu chuẩn cần đảm bảo 5 yếu tố kỹ thuật cốt lõi:
→ Việc lựa chọn miệng gió không chỉ là bài toán cơ khí đơn thuần, mà là bài toán tối ưu năng lượng, âm học và khí động học trong toàn bộ hệ thống HVAC.
Việc lắp đặt và bảo trì miệng gió không chỉ ảnh hưởng đến thẩm mỹ hoàn thiện mà còn quyết định đến hiệu suất vận hành và cân bằng lưu lượng toàn hệ thống HVAC. Một sai lệch nhỏ trong định vị hoặc góc lắp có thể làm thay đổi hoàn toàn dòng khí khuếch tán, độ ồn và chênh áp, do đó quy trình thi công cần tuân thủ nghiêm ngặt các tiêu chuẩn kỹ thuật.

1. Kiểm tra bản vẽ và thông số kỹ thuật
2. Chuẩn bị dụng cụ và vật tư
3. Kiểm tra áp suất ống gió trước khi lắp
Bước 1. Định vị và cắt lỗ chờ chính xác
Bước 2. Lắp khung và cố định miệng gió
Bước 3. Nối với ống gió mềm hoặc ống chính
Bước 4. Căn chỉnh hướng nan và thử lưu lượng

|
Hạng mục kiểm tra |
Tiêu chí kỹ thuật |
Dụng cụ đo / ghi nhận |
|
Lưu lượng gió |
Sai số ±10% so với thiết kế |
Anemometer, Flow Hood |
|
Tốc độ tại miệng |
Theo bảng tiêu chuẩn ASHRAE |
Anemometer cầm tay |
|
Độ ồn |
≤ 35 dB(A) cho văn phòng |
Sound Level Meter |
|
Hướng gió |
Phù hợp bố trí không gian |
Quan sát thực nghiệm |
|
Rung, rò khí |
Không có tiếng rung hoặc rò |
Kiểm tra khớp nối và gioăng |
|
Bề mặt hoàn thiện |
Sơn tĩnh điện đều, không trầy xước |
Kiểm tra bằng mắt & đèn chiếu |
Sau khi đạt tiêu chuẩn, kỹ sư nên niêm phong miệng gió tạm thời bằng nylon bảo vệ, chỉ tháo khi hoàn thiện trần sơn.
1. Chu kỳ bảo trì định kỳ:
|
Loại công trình |
Tần suất kiểm tra |
Hạng mục cần bảo trì |
|
Nhà dân dụng, văn phòng |
3 – 6 tháng/lần |
Vệ sinh bụi, kiểm tra độ ồn, điều chỉnh nan |
|
Nhà máy, kho xưởng |
1 – 3 tháng/lần |
Vệ sinh lưới lọc, kiểm tra xiết bulong, chống rò khí |
|
Phòng sạch, bệnh viện |
1 tháng/lần |
Thay lọc HEPA / lọc thô, kiểm tra chênh áp |
2. Quy trình vệ sinh tiêu chuẩn:
3. Ghi nhận dữ liệu bảo trì:
|
Lỗi kỹ thuật |
Nguyên nhân |
Biện pháp xử lý |
|
Gió thổi không đều |
Sai hướng nan hoặc vị trí lắp lệch trục |
Căn chỉnh lại góc nan, kiểm tra Throw Distance |
|
Độ ồn cao bất thường |
Vận tốc vượt giới hạn, rò khí ở cổ nối |
Giảm vận tốc, dán kín khớp nối bằng keo butyl |
|
Tụ hơi nước tại miệng |
Chênh nhiệt cao, cách nhiệt kém |
Bọc cách nhiệt thêm cho ống gió mềm |
|
Sơn bong tróc, oxy hóa |
Môi trường ẩm hoặc axit |
Dùng inox / sơn epoxy chống ăn mòn |
|
Áp suất chênh lệch giữa phòng và hành lang |
Thiếu miệng xả áp hoặc PRD |
Bổ sung Pressure Relief Damper hoặc louver xả |
G-Sora là đơn vị sản xuất miệng gió, van gió và phụ kiện ống gió đạt chuẩn SMACNA – ASHRAE – TCVN 5687:2010, đáp ứng yêu cầu kỹ thuật của các công trình HVAC dân dụng và công nghiệp.
Sản phẩm G-Sora được gia công bằng nhôm định hình 6063-T5, thép sơn tĩnh điện hoặc inox 304, sử dụng máy cắt laser – chấn CNC – sơn Akzonobel / anot hóa điện phân, đảm bảo độ chính xác ±0.2 mm và bề mặt chống oxy hóa bền màu.
Các dòng sản phẩm chính gồm:
Công ty G-Sora cung cấp giải pháp trọn bộ Air Terminal Device cho nhà thầu M&E: lưu lượng chuẩn, độ ồn thấp, thẩm mỹ cao và giao hàng nhanh – phù hợp mọi quy mô dự án HVAC.



Liên hệ G-Sora để được tư vấn và báo giá tốt nhất:
Miệng gió tuy chỉ là thành phần nhỏ trong hệ thống thông gió, nhưng lại là điểm giao giữa kỹ thuật khí động học và mỹ thuật kiến trúc. Một kỹ sư HVAC giỏi không chỉ biết chọn miệng gió đúng loại, mà còn biết thi công chính xác và bảo trì đúng chu kỳ để hệ thống luôn vận hành hiệu quả.